Comună mică Negoiul, cu o lume preponderent în etate, care trăiește în principal de pe urma cultivării pământului și creșterii animalelor. Cei care au mai trudit prin industriile doljene, odinioară, și mai au câte o pensie, cât de cât rezonabilă, o scot poate mai ușor la capăt cu greutățile vieții. Cum pământul fertil al Negoiului a devenit, în anii din urmă, un miraj, firește că a atras nu puțini „atleți” imobiliari. Unii izgoniți. Cel mai trufaș dintre aceștia rămâne primărița comunei, Lidia Adriana Zavela, care, din puține și discrete mișcări coregrafice, a ajuns la o moșie de aproape 800 de hectare, arendate, potrivit cererii de sprijin pe suprafață depusă la APIA Dolj. Doar Consiliul Local Negoi mai figurează, în ordine, cu o suprafață de peste 500 de hectare. Dar este o întreagă discuție și cu această suprafață, când destinată integral pășunii, adică izlazului comunal, când parțial, din care, spun oamenii locului, primărița mai „ciugulește” niște hectare spre a fi muncite de societatea comercială Zavelea SRL, exploatare care a fost administrată, până la 26 iunie 2012, chiar de Lidia Adriana Zavelea, după care a fost substituită de soțul său, Adrian Zavelea. Fusese însă administratorul societății pe mandatul anterior, de consilier local, potrivit propriei declarații de interese, ceea ce o face incompatibilă, potrivit prevederilor Legii nr. 161/2003, art. 88, litera d. Cocoțată, e drept prin vot popular, în funcția de primar al comunei, la ce putea să îi zboare gândul mai întâi și mai întâi Adrianei Zavelea? La făgăduințele făcute oamenilor în campania electorală? La proiectele europene pentru atragerea de fonduri trebuincioase dezvoltării infrastructurii localității? Nimic din toate acestea. Arendarea de terenuri de la oameni în vârstă, apăsați de nevoi sau cumpărarea la prețuri avantajoase, încât propria moșie a devenit una cu geometrie variabilă. În 2008, SC Zavelea SRL administra 366 de hectare, conform unei situații remise Direcției Generale a Finanțelor Publice Dolj. În 2010, suprafața arendată era de 574 de hectare. în 2011, era deja de 580 de hectare. În anul următor, după alegeri, a crescut și suprafața până la aproximativ 800 de hectare. Înconjurată de o „gardă clientelară”, Adriana Lidia Zavelea… muncește. Și îi merge bine. Din păcate, doar ei, la nivelul comunei.
O incompatibilitate mai luminoasă ca soarele de afară
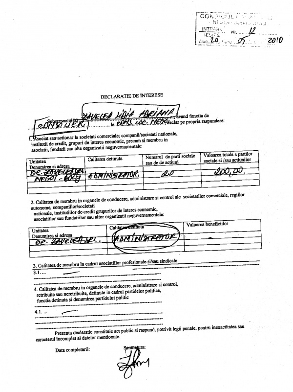
Potrivit declarației de interese din 20 mai 2010, postată pe site-ul Primăriei, după care nu a mai fost depusă alta, Zavelea Lidia Adriana – consilier local la acea dată – deținea calitatea de administrator al SC Zavelea SRL (vezi facsimil). Declarația de interese, obligatorie pentru aleșii locali, era completată cu pixul, pe propria răspundere, așa cum menționează legea. Numai că atât Legea nr. 393/2004, privind statutul aleșilor locali, cât și Legea nr. 161/2003, privind unele măsuri pentru asigurarea transparenței în exercitarea demnităților publice, a funcțiilor publice și în mediul de afaceri, prevenirea și sancționarea corupției, reglementează „regimul juridic” al funcției de consilier local și consilier județean, considerând-o incompatibilă cu calitatea de administrator la o societate comercială de interes local. Cu alte cuvinte, chiar dacă, după alegerea ca primar, în 2012, Lidia Adriana Zavelea a făcut mențiunea la Registrul Comerțului că nu mai deține calitatea de administrator, mai întâi la 26 iunie, și apoi la 10 august, renunțând și la calitatea de asociat, faptul că pe mandatul de consilier local fusese în funcția menționată o face incompatibilă ca primar. Sigur, prevederile respective, extrem de restrictive, dacă nu exagerate, creează probleme și altora. Dar cum ele sunt în vigoare, se aplică și primarului din Negoi, noua „moșieriță a zonei”.
Un proiect cu cântec
După cum am relatat în numărul anterior al cotidianului nostru, luni am participat la o ședință ordinară a Consiliului Local Negoi, subiectul fierbinte fiind izlazul din localitate. Dincolo de strigăturile și limbajul colorat pe care-l folosesc unii dintre aleșii locali, a rămas nedeslușită problema terenului pentru pășunat, o suprafață foarte mare, pe seama căruia actualul primar, Lidia Adriana Zavelea, și fostul primar, Sorin Voinea, care este acum consilier local, s-au certat înainte, în timpul și după vot. Pe scurt, consilierul local i-a reproșat primarului că are un interes legat de acest teren, că l-ar pregăti să-l concesioneze cuiva, iar acel cineva să-l folosească pentru a ridica subvenția care se oferă de la APIA Dolj. Adică ar face exact ceea ce face Primăria, dar cu excepția faptului că bănuții ar intra în buzunarul respectivului.
Izlaz comunal și, totuși, privat…
Fostul primar nu a putut să dea nume, dar a recunoscut că și în timpul mandatului său s-au găsit câțiva care au venit să-i propună o mică afacere. Evident că el a refuzat. „Știu că se fac presiuni asupra primarului”, a declarat, imediat după ședință, Sorin Voinea. Cooperant până la un punct, primarul actual a declarat, în timpul ședinței, că nu există nici un fel de interes legat de acest izlaz și că pur și simplu se face acum doar o mică rectificare, în sensul că suprafața de 522 de hectare devine 597 de hectare. Problema spinoasă „a includerii izlazului în inventarul domeniului privat a comunei Negoi” a fost tranșată de primar în doar câteva minute. Explicația a fost oferită pe un hol și a sunat așa: „Terenul se află în extravilanul comunei, deci este și în domeniul privat”.
Banii pentru covorul verde, puși la păstrare
Cum însă între cele două calități nu poate fi vorba de nici o legătură de cauzalitate – un teren se trece în domeniul privat numai printr-o hotărâre a consiliului local –, am încercat să aflăm de ce ar fi, totuși, așa de tentant izlazul comunal. Prima variantă ar fi ca un mare crescător de animale să plece de undeva de la munte sau de la o micro-fermă din țară ca să-și hrănească, toată vara, efectivele cu iarba de pe pășunea din Negoi. Am aflat însă că teren ar fi destul – peste 597 de hectare după votul de luni –, dar covorul de vegetație nu ar putea să-l ajute prea mult pe marele crescător fiindcă izlazul nu este așa de bine întreținut. Culmea este că autoritățile au prevăzut bani de la buget și anul trecut, dar și în acest an – aproape 1 miliard de lei vechi în total – pentru… fertilizarea chimică a izlazului. Nu se știe de ce, dar fondurile sunt și acum blocate la buget.
O tentație numită… subvenție!
Ca atare, rămâne în picioare cea de-a două variantă, a subvenției pe hectar. În cei doi ani care s-au scurs din actualul mandat, Primăria Negoi a încasat o subvenție destul de bună de pe urma izlazului comunal. Suma aferentă anului 2012 a fost de 1,26 miliarde de lei vechi, bani mulți pentru o primărie din mediul rural. Subvenția acordată de APIA Dolj pentru anul 2013 a fost de 1,47 miliarde de lei vechi. Pentru anul 2014, subvenția ar fi chiar un pic mai mare, având în vedere faptul că autoritățile tocmai au mărit suprafața izlazului comunal, de la 522 de hectare la 597 de hectare. În cazul în care izlazul ar fi concesionat – iar acum este foarte simplă concesiunea pentru că terenul se află în domeniul privat –, toată subvenția pe hectar, una de peste 1,5 miliarde de lei, ar ajunge automat în buzunarul celui care se grăbește să concesioneze această pășune.
Consilierii locali, trimiși la pășunat…
Interesant este și faptul că, din actele depuse la APIA Dolj, reiese faptul că nu toată suprafața declarată ca pășune este, de fapt, izlaz comunal. Pentru a primi subvenția aferentă anului 2013, Primăria Negoi a depus, pe 15 mai 2013, o cerere în acest sens. Odată cu această cerere a fost atașată și Hotărârea Consiliului Local Negoi nr. 10/2013 prin care se stabilește suprafața pentru care se depunea cerere de sprijin. Primăria Negoi evită să precizeze dacă terenul cu pricina se află în domeniul public sau domeniul privat al comunei, menționând doar, la modul general, că întreaga suprafață se află în proprietatea Consiliului Local Negoi. Există însă o anexă în care se detaliază suprafețele pentru care se solicită subvenție. Din cele 522 de hectare, 272,12 hectare sunt teren arabil, iar restul de 247,23 de hectare sunt declarate pășuni. Numai că aceleași hectare au fost prezentate consilierilor locali, în ședința de luni, ca făcând parte în întregime din izlazul comunal!
Toată problema se învârte, de fapt, în jurul sumelor de bani primite de la APIA Dolj. Mai exact, a banilor care ar putea să nu fie în totalitate cuveniți. Și asta pentru că, între suprafața de teren, lucrată efectiv de SC Zavelea SRL, în temeiul contractelor de arendă, și suprafața din cererea de sprijin depusă la APIA Dolj, sunt unele „detalii” care rămân, în continuare, neclare.
LAURA MOȚÎRLICHE şi MIRCEA CANŢĂR



















http://lege5.ro/Mobile/Dosar/hazdamzrg4zv6mrrgu/26-215-2011-judecatoria-craiova
Citiți asta si după trageți concluziile.
Comments are closed.